Product Series
推薦產品
河南華東起重機械設備公司
服務熱線:400 086 9590
公司:河南華東起重機械設備有限公司
聯系人:賈經理
聯系電話:13903802779
地址:河南新鄉市封丘縣起重機工業園區
當前位置: 起重機 > 起重機文章
LB型防爆單梁起重機技術參數表
時間:2024-05-24來源:起重機廠家瀏覽次數:1
LB型防爆單梁起重機產品介紹:
防爆電動單梁起重機制造與檢驗符合
GB3836.1-2000《爆炸性氣體環境用電氣設備 第1部分:通用要求》
GB3836.2-2000《爆炸性氣體環境用電氣設備 第2部分:隔爆型“d”》
GB3836.3-2000《爆炸性氣體環境用電氣設備 第3部分:增安型“e”》
GB3836.4-2000《爆炸性氣體環境用電氣設備 第4部分:本質安全型“i”》
GB12476.1-2000 《可燃性粉塵環境用電氣設備 第1部分:用外殼和限制表面溫度保護的氣體設備 第1節:電氣設備的技術要求》
防爆單梁起重機產品應用:
防爆電動單梁起重機的防爆標志為ExdeibIICT4/DIP A21 TA,T4,可在防爆等級為IIB級、IIC級和粉塵環境中使用,廣泛應用于軍工、化工、洗煤廠、制藥單位的工廠、倉儲、料場等場所。
LB型防爆電動單梁起重機具有結構合理、外形美觀、防爆性強等特點。本產品適用于有爆炸性氣體的環境,不適應于有爆炸性粉塵的環境。工作環境-25-+40C。設有地面和司機室兩種操作形式,司機室分為開式、閉式閉式兩種,安裝形式分為左、右、入門方向分側面、端面,供用戶根據各自的使用情況進行選擇。
LB型防爆單梁起重機方案圖

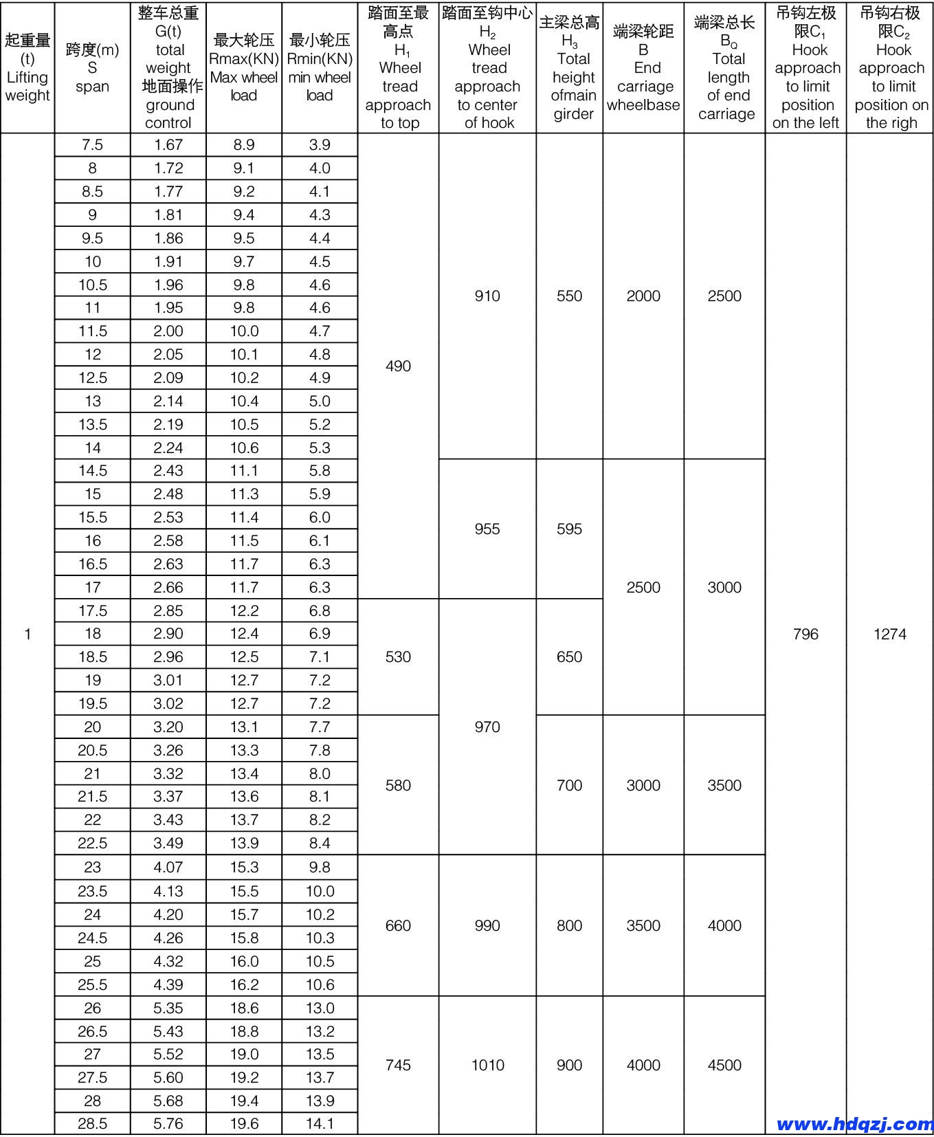
LB型防爆單梁起重機技術參數表























