Product Series
推薦產品
河南華東起重機械設備公司
服務熱線:400 086 9590
公司:河南華東起重機械設備有限公司
聯系人:賈經理
聯系電話:13903802779
地址:河南新鄉市封丘縣起重機工業園區
當前位置: 起重機 > 起重機文章
起重機卷筒的結構、種類及安全要求
時間:2024-05-18來源:起重機廠家瀏覽次數:1
卷筒是起重機的重要承重部件,通過電機的作用來卷繞鋼絲繩以實現起吊重物的下降或提升,它承載起升載荷,收放鋼絲繩,實現取物裝置的升降。因此起重機械卷筒的安全性、可靠性非常重要。
(1)卷筒的種類。按筒體形狀,可分為長軸卷筒和短軸卷筒。按制造方式,可分為鑄造卷筒和焊接卷筒。按卷筒的筒體表面是否有繩槽,可分為光面和螺旋槽面卷筒。按鋼絲繩在卷筒上卷繞的層數,可分為單層纏繞卷筒和多層纏繞卷筒。一般起重機大多采用單層纏繞卷筒,多層纏繞卷筒用于起升高度特大,或要求機構緊湊的起重機(例如汽車起重機)。
(2)卷筒的結構。卷筒是由筒體、連接盤、軸以及軸承支架等構成的。
單層纏繞卷筒的筒體表面切有弧形斷面的螺旋槽,以增大鋼絲繩與筒體的接觸面積,并使鋼絲繩在卷筒上的纏繞位置固定,以避免相鄰鋼絲繩互相摩擦而影響壽命多層纏繞卷筒的筒體表面通常采用不帶螺旋槽的光面,筒體兩端部有凸緣,以防止鋼絲繩滑出。其缺點是鋼絲繩排列緊密,各層互相疊壓、摩擦,對鋼絲繩的壽命影響很大。
卷筒的結構尺寸中,影響鋼絲繩壽命的關鍵尺寸是卷筒的計算直徑,按鋼絲繩中心計算的卷筒允許的*小卷繞直徑必須滿足:
D0min≥h1d
式中:D0min--按鋼絲繩中心計算的滑輪和卷筒允許的*小卷繞直徑,mm;
d--鋼絲繩直徑,mm;
h1--卷筒直徑與鋼絲繩直徑的比值。
2.鋼絲繩在卷筒上的固定
通常采用壓板螺釘或楔塊,利用摩擦原理來固定鋼絲繩尾部,要求固定方法安全可靠,便于檢查和裝拆,在固定處對鋼絲繩不造成過度彎曲、損傷。
(1)楔塊固定法。此法常用于直徑較小的鋼絲繩,不需要用螺栓,適于多層纏繞卷筒。
(2)長板條固定法。通過螺釘的壓緊力,將帶槽的長板條沿鋼絲繩的軸向將繩端固定在卷筒上。
(3)壓板固定法。利用壓板和螺釘固定鋼絲繩,方法簡單,工作可靠,便于觀察和檢查,是最常見的固定形式。其缺點是所占空間較大,因此,不能用于多層卷繞。從安全考慮,壓板數至少為2個。
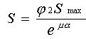
鋼絲繩尾部拉力可按柔韌體摩擦的歐拉公式計算:

式中:Smax--鋼絲繩的*大拉力,一般指額定載荷時的鋼絲繩拉力;
--起升載荷動載系數;
e--自然對數的底(e=2.718…);
μ--摩擦系數,考慮有油,通常取μ≈0.12;
α--鋼絲繩在卷筒上的包角。
為了保證鋼絲繩尾的固定可靠,減少壓板或楔塊的受力,在取物裝置降到下極限位置時,在卷筒上除鋼絲繩的固定圈外,還應保留1.5~3圈安全圈,也稱為減載圈,這在卷筒的設計時已經給予考慮。
在使用中,鋼絲繩尾的圈數保留得越多,繩尾的壓板或楔塊的受力就越小,也就越安全。如果取物裝置在吊載情況的下極限位置過低,卷筒上剩余的鋼絲繩留數少于設計的安全圈數,就會由于鋼絲繩尾受力超過壓板或楔塊的壓緊力,從而導致鋼絲繩拉脫,重物墜落。
3.卷筒安全使用要求
(1)卷筒上鋼絲繩尾端的固定裝置,應有防松或自緊的性能。對鋼絲繩尾端的固定情況,應每月檢查一次。在使用的任何狀態,必須保證鋼絲繩在卷筒上保留足夠的安全圈。
(2)單層纏繞卷筒的筒體端部應有凸緣。凸緣應比最外層鋼絲繩或鏈條高出2倍的鋼絲繩直徑或鏈條的寬度。
卷筒出現下述情況之一時應報廢:
①裂紋;
②筒壁磨損量達原壁厚的20%;
③繩槽磨損量大于鋼絲繩直徑1/4且不能修復時。





















